| Síklapú alkzatok | Síklapú testek | Görbe felületű testek | Gömb felületű testek | Szögfüggvények |
|---|
| Szabályos test neve. | Lapok alakja | Lapok száma | Élek száma | Csúcsok száma | Felszín = A Térfogat = V |
|---|---|---|---|---|---|
| Tetraéder. | Háromszög | 4 | 6 | 4 | A = √3 * a² = 1.7321 * a² V = 1/12*√2 * a³ = 0.1179 * a³ |
| Hexaéder (kocka) | Négyzet | 6 | 12 | 8 | A = 6 * a² V = a³ |
| Oktaéder | Háromszög | 8 | 12 | 6 | A = 2*a²*√3 = 3.4641*a² V = 1/3*√2*a³ = 0.4714*a³ |
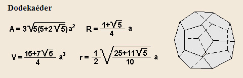
| Dodekaéder | Ötszög | 12 | 30 | 20 | A = 3*a²*√(25+10*√5) = 20.6457*a² V = a³/4*(15+7*√5) = 7.6631*a³ |
| Ikozaéder | Háromszög | 20 | 30 | 12 | A = 5*a²*√3 = 8.6603*a² V = 5*a³/12*(3+√5) = 2.1817*a³ |
| 2 négyzetgyöke = 1.4142135; |
| 3 négyzetgyöke = 1.7320508; Kerekítve = 1.7321 |
| 5 négyzetgyöke = 2.2360679; |
| 6 négyzetgyöke = 2.4494897; |
Oldalait négy egyenlőoldalú háromszög alkotja.
Éleinek száma hat.
Csúcsainak száma négy.
Csúcsokból induló vonalak szöge, 60-fok

Kocka (Hexaéder)
- Oldalainak száma hat.
- Minden oldalél hossza egyenlő, oldalélek találkozási pontja, 90-fok.

Oldalait nyolc háromszög alkotja.
Éleinek száma tizenkettő.
Csúcsainak száma hat.

Oldalait tízenkettő ötszög alkotja.
Éleinek száma harminc.
Csúcsainak száma húsz.

Oldalait húsz háromszög alkotja.
Éleinek száma harminc.
Csúcsainak száma tízenkettő.






